note
[TOC]
Symbol stipulations
$(x,y)$ represented a single training example, $x \in \mathbb{R} ^ {n_x}, y \in { {0,1} }$;
m_train represented numbers of training set, m_train:${(x^{(1)},y^{(1)}),(x^{(2)},y^{(2)}),...,(x^{(m)},y^{(m)})}$
Usually,we use matrix symbols below to represented dataset,
X=...x(1)......x(2)...............x(m)...,$Y=\begin{bmatrix} y^{(1)},y^{(2)},...,y^{(m)} \end{bmatrix}$
Logistic Regression
$\hat y=w^Tx+b$利用这种线性回归的方式预测二分类为题,很容易受到异常值影响;所以用sigmoid函数$\sigma(z)=\frac 1 {1+e^{-z}}$ ,将上式代入z中,得到值域在0-1之间的函数,图像如下。
式子为:$\hat y = \sigma(w^Tx+b)$
接下来调整$w$和$b$,注意,这个表示在吴恩达ml课中是不一样的。在神经网络中$b$通常代表了拦截器。
为了得到最合适的$w$,$b$,LossFunction可以这么写:$LossFunction:L(\hat y,y)=\frac 1 2(\hat y-y)^2$,虽然在表面上看,这个式子衡量了$w$,$b$的情况,但是在Logistic Regression中通常不这么做,利用梯度下降后会得到多个局部最优解,既得到了一个非凸(non-convex)问题。
在Logistic Regression中我们用这个式子:
$LossFunction:L(\hat y,y)=-(ylog\hat y+(1-y)log(1-\hat y))$
...衡量所有样本的CostFunction:
$CostFunction: J(w,b)=\frac 1 m \sum ^m {i=1}L(\hat y ^{(i)},y^{(i)})=-\frac 1 m \sum ^m {i=1}[y^{(i)}log\hat y^{(i)}+(1-y^{(i)})log(1-y^{(i)})]$
说明:
设:
$If, y=1: p(y|x)=\hat y$
$y=0: p(y|x)=1-\hat y$
那么可以对上式整合:$p(y|x)=\hat y^y(1-\hat y)^{1-y}$,由于log是严格单调递增的函数,所以两边取对数,有$ylog\hat y+(1-y)log(1-\hat y)$,这就是$LossFunction$的负数,因为我们在Logistic Regression中的目标是最小化,所以会加一个负号;
对于多个样本,假设这些数据服从同一分布,其联合概率:
$p(m个labels)=\prod_{i=1}^m p(y^{(i)}|x^{(i)})$
求其最大值,等同于求其对数,则有:
$log p(labels in training set)=\sum{i=1}^m logp(y^{(i)}|x^{(i)})=-\sum{i=1}^mL(\hat y^{(i)},y^{(i)})$
即,用极大似然估计,即求一组参数使得式子得出最大值。
因为我们要最小化LossFunction,所以去掉负号,为了表达方便加上了$\frac 1 m$对LossFunction缩放。
Gradient Descent
随机选择初始点,因为是凸函数,所以到最后都会得到全局最优/接近全局最优。简化CostFunction只有w来举例,有下图:

完整式如下
符号约定:
函数只有一个变量时$\frac {dJ(w)} {db}$;
多个变量时$\frac {\partial J(w,b)} {\partial b}$,用偏导数符号。
Logistic Regression recap
用计算图实现Logistic Regression的梯度下降算法:

计算导数,略。
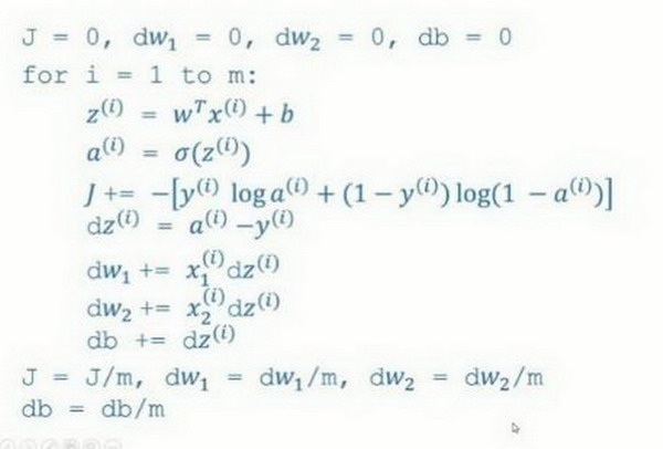
Logistic Regression on m examples & Vectorizing logistic regression's GD

for循环形式如上,我们将使用向量化实现一次GD过程:
$ Z=w^T+b =np.dot(w.T,X)+b $
$ A = \sigma(Z) $
$ dZ=A-Y $
$ dw=\frac 1 m \times dZ^T $
$ db=\frac 1 m (np.sum(dZ)) $
$ w:=w-\alpha dw $
$ b:=b-\alpha db $
当然,一次GD肯定不够,必须要最外层的这个for循环,才能通过GD得到全局最优解。
Last updated